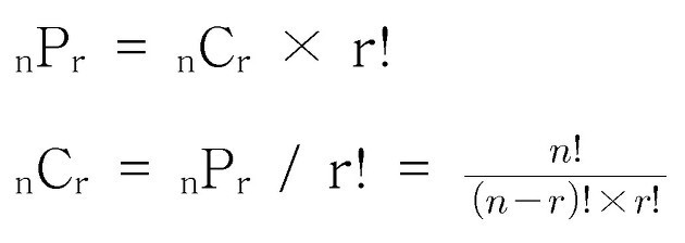
백준 2798번을 풀다 조합을 이용한 풀이를 생각했고, 이전에 모듈로 Combination을 가져다 쓴 기억이 있어 한번 직접 만들어 보는 것도 좋겠다 싶어 Combination을 구하는 알고리즘을 만들어 보았다. 만약 빠르게 조합을 구현하고 싶다면 itertools 라이브러리를 import 해서 조합, 순열 등을 구현할 수 있다. 이는 다음 블로그에 잘 정리되어 있다 https://yganalyst.github.io/etc/memo_18_itertools/ [Python] itertools, 원소의 경우의 수(순열, 조합) 추출하기 itertools 라이브러리를 활용해서 원소들의 경우의 수를 추출하는 방법을 배워보자. yganalyst.github.io 조합의 정의는 다음과 같다. (출처 : https..